Skip to content

Conversation

wks
Copy link
Collaborator

@wks wks commented Jun 6, 2022

As we discussed in #559, TransitiveClosure should be split into two traits, one for object scanning, and the other for enqueuing objects. This PR is the latter: it replaces TransitiveClosure with an object-enqueuing trait ObjectQueue, and remove TransitiveClosure completely.

With this change, the trace_object method now takes an &mut impl ObjectQueue parameter. For ProcessEdgesWork, it should pass &mut self.base().nodes instead of self to trace_object.

There is an alternative solution which uses the return value to indicates which object to enqueue. I think this PR is a more direct approach, because "enqueuing" is part of the semantics of trace_object, and it is better to just expose a queue to trace_object so it can queue, instead of letting the caller enqueue objects. Consequently, unlike the alternative solution, this PR cannot address the issue of "only updating edges when the object is actually moved" (#574). It shall be addressed in a separate PR.

Closes: #559

@wks wks marked this pull request as ready for review June 8, 2022 15:00
@wks
Copy link
Collaborator Author

wks commented Jun 8, 2022

I think the code is ready, but I am waiting for the benchmark result.

@wks
Copy link
Collaborator Author

wks commented Jun 12, 2022

I ran Dacapo Chopin on bobcat.moma (Alder Lake), comparing the master and this branch. 20 iterations, 3 invocations each, 4.8x min heap size.

Statistics show that the effect on STW time is negligible. (Outliers (zscore >= 3) are removed.)

Geomean of relative STW time across different benchmarks:

  • SemiSpace: 1.0038804314826324
  • Immix: 0.998644089075811
  • GenCopy: 1.0000574290637219
  • GenImmix: 0.9942469216074474

image

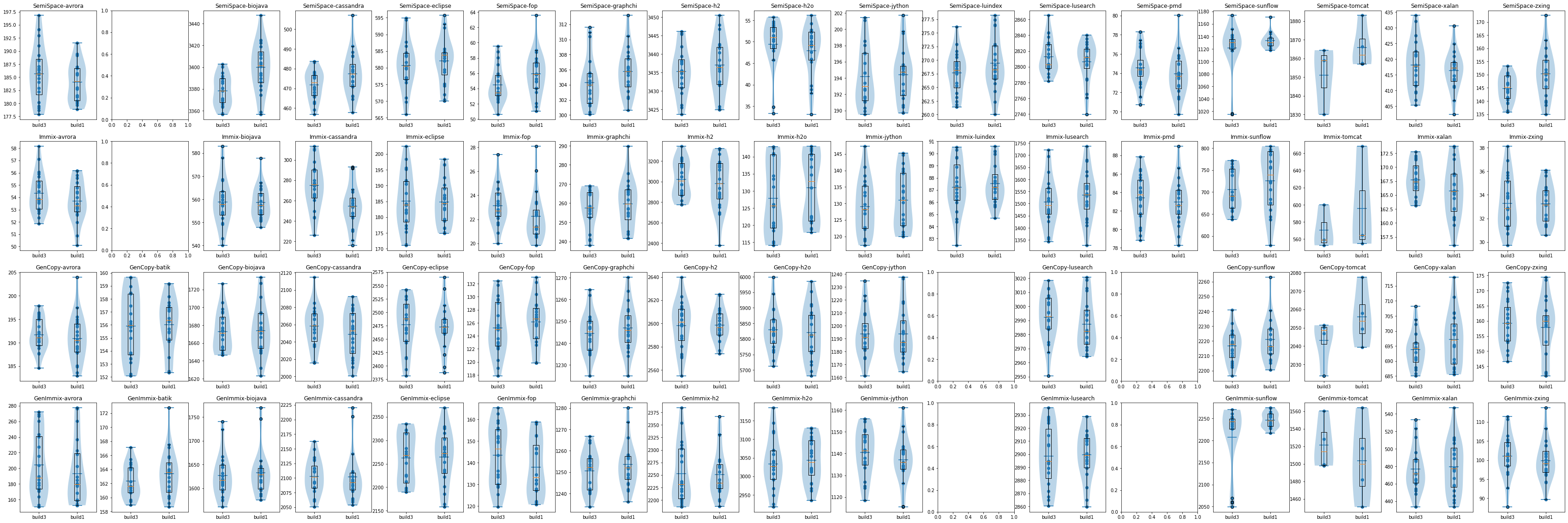
FYI: Here are the scattered points for all executions (with outliers removed), together with box plots and violin plots, just in case you don't trust the means and standard deviations. Note that the plots for some plan-benchmark combinations are missing. For some combinations (such as SemiSpace-batik), GC did not happen during the execution; For some combinations, (such as luindex and pmd with generational collectors) it crashed. (Running lusearch and pmd with generational collectors will result in crashes for both master and the branch. We should investigate later.)

image

@k-sareen
Copy link
Collaborator

k-sareen commented Jun 12, 2022

For some combinations, (such as luindex and pmd with generational collectors) it crashed. (Running lusearch and pmd with generational collectors will result in crashes for both master and the branch. We should investigate later.)

Yes, I found this earlier when I was doing a performance evaluation of MMTk and brought it up in a meeting. I recall @wenyuzhao mentioning that it might be related to the barriers. I believe he will be updating the barrier code due to his LXR PR, so it might be resolved with it.

EDIT: I believe I made an issue for it here: mmtk/mmtk-openjdk#156

Those lines of code  were added by mistake.
@wks wks requested review from qinsoon and wenyuzhao June 13, 2022 02:39
Copy link
Member

@wenyuzhao wenyuzhao left a comment

Choose a reason for hiding this comment

The reason will be displayed to describe this comment to others. Learn more.

LGTM. Just two minor questions regarding #[inline].

One thing that may be helpful is configuring codegen-units in the bindings and setting it to a low value (like 1) may improve codegen quality. So functions in mmtk-core are more likely to be inlined.


/// Trace objects for spaces in generational and common plans for a full heap GC.
pub fn trace_object_full_heap<T: TransitiveClosure>(
pub fn trace_object_full_heap<Q: ObjectQueue>(
Copy link
Member

Choose a reason for hiding this comment

The reason will be displayed to describe this comment to others. Learn more.

Shall we mark this as #[inline(always)]? Also the trace_object_nursery function below as well

Copy link
Collaborator Author

Choose a reason for hiding this comment

The reason will be displayed to describe this comment to others. Learn more.

I tried. However, if I mark this as #[inline(always)], the Rust compiler will decide not to inline another call inside this function. Then I marked another function as #[inline(always)], and then the Rust compiler will again decide not to inline yet another function. And this went on and on. So I decided to fix the inlining problem later, not in this PR, because the performance of generational GC doesn't seem to be affected by this PR.

}

pub fn trace_object<T: TransitiveClosure>(
pub fn trace_object<Q: ObjectQueue>(
Copy link
Member

Choose a reason for hiding this comment

The reason will be displayed to describe this comment to others. Learn more.

Not sure if it is helpful to mark this as #[cold] or #[inline(never)]. This may reduce the inlined code size of the hot trace_object calls.

Copy link
Collaborator Author

Choose a reason for hiding this comment

The reason will be displayed to describe this comment to others. Learn more.

Yes. It may reduce the inline code size. But I am not sure if we should mark it as #[cold] or #[inline(never)].

  1. The VM space (if exists) may not be cold.
  2. If in_space is cheap and simple, inlining it should help skipping objects that are not in those spaces.

@wks wks merged commit 6410f0a into mmtk:master Jun 14, 2022
@k-sareen k-sareen mentioned this pull request Jun 23, 2022
3 tasks
Sign up for free to join this conversation on GitHub. Already have an account? Sign in to comment
Labels
None yet
Projects
None yet
Development

Successfully merging this pull request may close these issues.

Remove TransitiveClosure param from Space::trace_object and Scanning::scan_object
3 participants